An independent contractor agreement is a legally binding contract between two parties, where one party hires the other as an independent contractor. Unlike an employment contract, an independent contractor agreement establishes a business relationship between the two parties, rather than an employer-employee relationship. This agreement outlines the terms and conditions of the work to be performed, including payment, project scope, and duration.
Independent contractors are self-employed individuals who offer their services to clients on a project basis. They have more control over their work and are responsible for managing their own taxes, insurance, and other business expenses. Independent contractor agreements play a crucial role in defining the rights and responsibilities of both parties and protecting their interests.
Why Do You Need an Independent Contractor Agreement?
Having an independent contractor agreement is essential for both parties involved. Here are a few reasons why:
- Clarity: An independent contractor agreement clearly defines the scope of work, payment terms, and project deliverables, ensuring that both parties have a clear understanding of their responsibilities.
- Legal Protection: By having a written agreement in place, both parties are protected legally. In case of any disputes or misunderstandings, the contract can serve as evidence of the agreed-upon terms.
- Tax Compliance: For the hiring party, having an independent contractor agreement is crucial to establish that the individual hired is indeed an independent contractor and not an employee, as this affects tax obligations.
- Professionalism: Using an independent contractor agreement demonstrates professionalism and helps establish a business relationship based on mutual trust and respect.
What Should an Independent Contractor Agreement Include?
An effective independent contractor agreement should include the following key elements:
- Information of both parties: Include the names and contact details of both the hiring party and the independent contractor.
- Scope of work: Clearly define the scope of work to be performed by the independent contractor, including specific tasks, deliverables, and deadlines.
- Payment terms: Specify the payment terms, including the rate of pay, how and when the contractor will be paid, and any additional expenses that will be reimbursed.
- Term and termination: State the duration of the agreement and any provisions for early termination by either party.
- Confidentiality: Include a confidentiality clause to protect sensitive information shared during the project.
- Intellectual property: Clarify who will own the intellectual property rights to any work created during the project.
- Indemnification: Include an indemnification clause to protect both parties from any claims or liabilities arising from the project.
- Dispute resolution: Specify the process for resolving any disputes that may arise during the course of the project.
How to Create an Independent Contractor Agreement?
Creating an independent contractor agreement doesn’t have to be complicated. Follow these steps to create your own:
- Gather necessary information: Collect all relevant information about both parties, including their names, addresses, and contact details.
- Define the scope of work: Clearly outline the tasks, deliverables, and deadlines for the project.
- Set payment terms: Specify the rate of pay, payment schedule, and any additional expenses that will be reimbursed.
- Add legal clauses: Include clauses such as confidentiality, intellectual property, indemnification, and dispute resolution.
- Review and finalize: Carefully review the agreement and make any necessary revisions. Once both parties are satisfied, sign and date the contract.
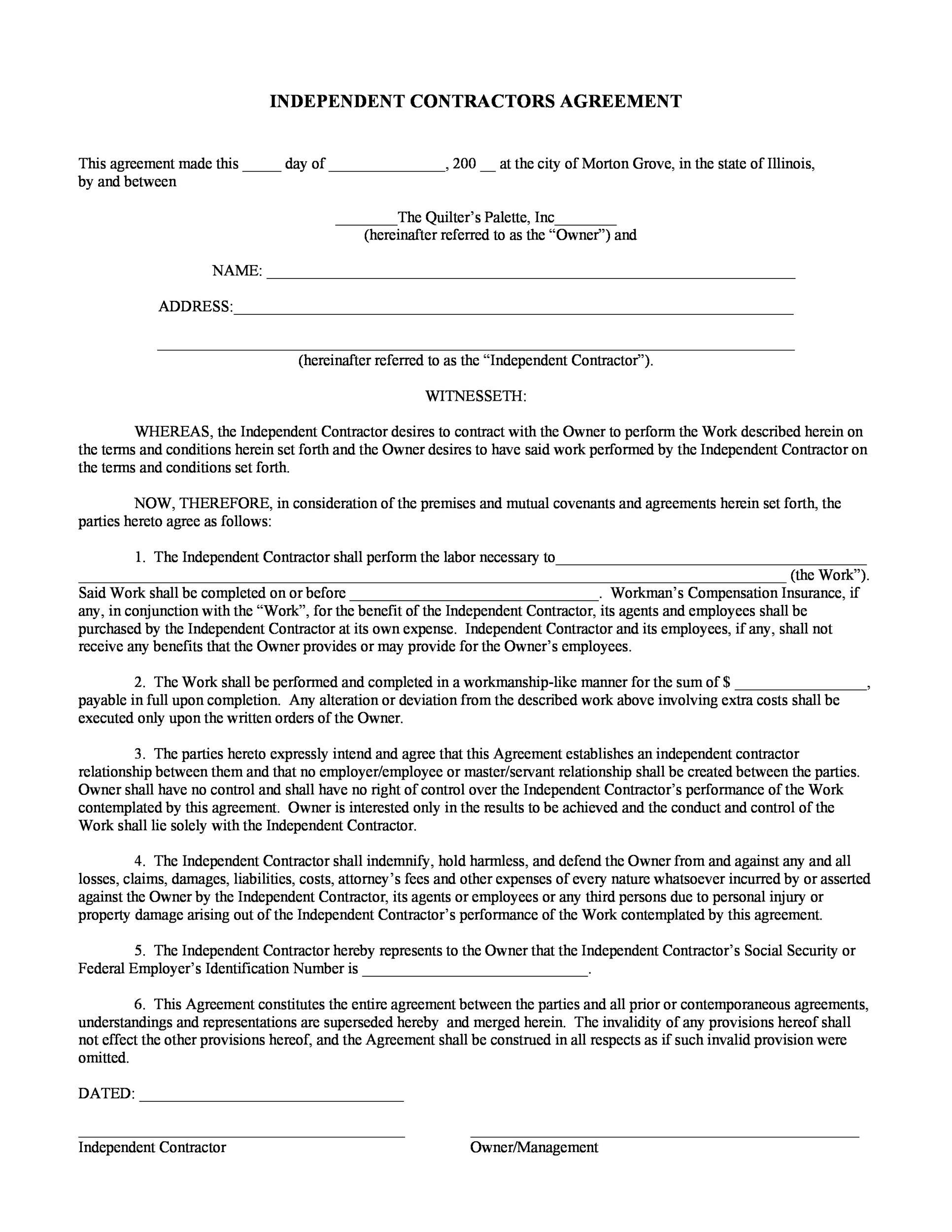
Sample Independent Contractor Agreement




Here’s a sample independent contractor agreement that you can use as a starting point:
[Your Company Name] and [Independent contractor’s Name] hereby enter into this independent contractor agreement as of the [Date].
1. Scope of Work:
The independent contractor agrees to perform the following tasks as part of this agreement:
- Task 1
- Task 2
- Task 3
2. Payment Terms:
The independent contractor will be paid at a rate of [Rate] per hour/project. Payment will be made within [Number of Days] days of receipt of the invoice.
3. Term and Termination:
This agreement will remain in effect from [Start Date] to [End Date]. Either party may terminate this agreement with [Number of Days] days’ written notice.
4. Confidentiality:
The independent contractor agrees to maintain the confidentiality of any proprietary or confidential information shared during the course of the project.
5. Intellectual Property:
All intellectual property rights to any work created during the project will be owned by [Your Company Name].
6. Indemnification:
Both parties agree to indemnify and hold each other harmless from any claims or liabilities arising from the project.
7. Dispute Resolution:
Any disputes arising from this agreement will be resolved through arbitration by the laws of [Jurisdiction].
Best Practices for Independent Contractor Agreements
- Clearly define the scope of work: Be specific about the tasks, deliverables, and deadlines to avoid misunderstandings.
- Use plain language: Write the agreement in clear and concise language that is easily understood by both parties.
- Seek legal advice if necessary: If you’re unsure about any legal aspects of the agreement, consult with a lawyer to ensure you’re protected.
- Keep a record: Keep a copy of the signed agreement for your records and make sure both parties have a copy as well.
- Review and update regularly: As the project progresses or circumstances change, review and update the agreement as needed to reflect any modifications.
Conclusion
An independent contractor agreement is a critical document that establishes the terms and conditions of a business relationship between a hiring party and an independent contractor. By clearly defining the scope of work, payment terms, and other important details, this agreement protects the interests of both parties and ensures a successful working relationship. Remember to follow best practices and seek legal advice when necessary to create a comprehensive and effective independent contractor agreement.
Independent Contractor Agreement Template Word – Download
